Eccentricity distribution of extreme mass ratio inspirals

D. Mancieri, L. Broggi, M. Vinciguerra, A. Sesana, and M. Bonetti
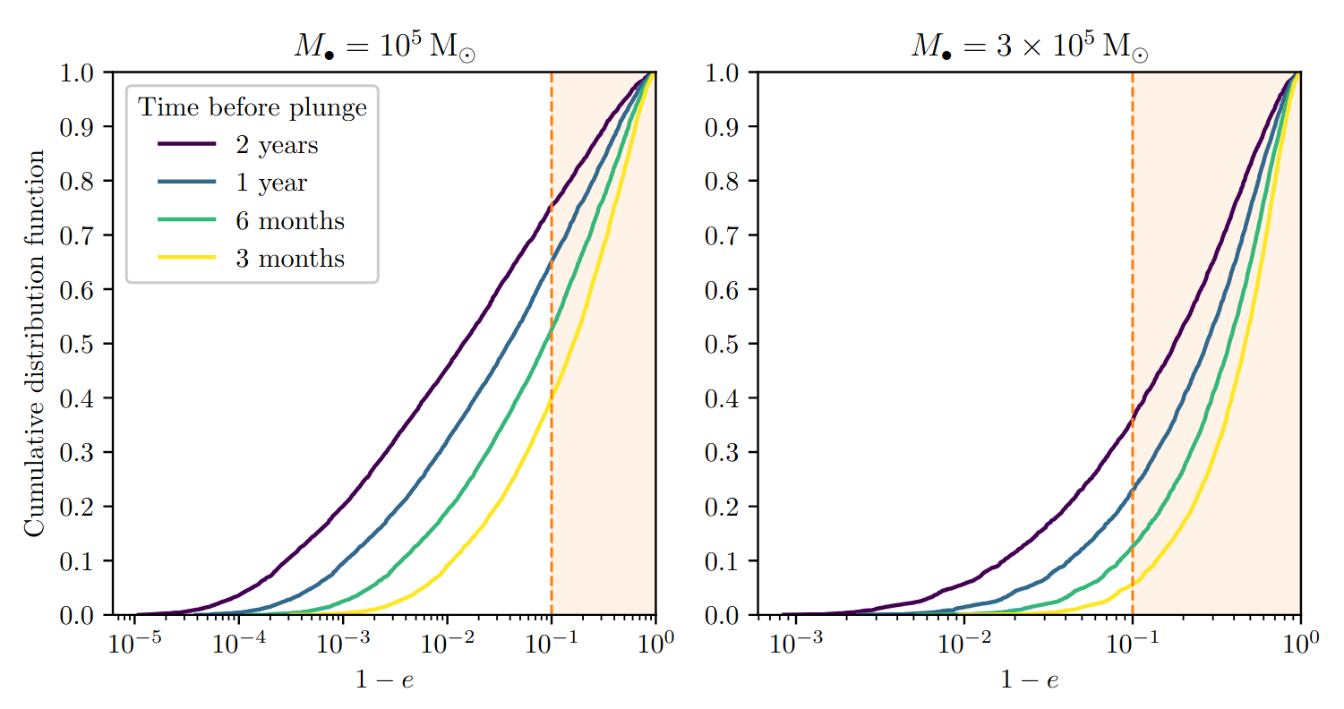
We present realistic eccentricity distributions for extreme mass ratio inspirals (EMRIs) forming via the two-body relaxation channel in nuclear star clusters, tracking their evolution up to the final plunge onto the central Schwarzschild massive black hole (MBH). We find that EMRIs can retain significant eccentricities at plunge, with a distribution peaking at \(e_\mathrm{pl}≈0.2\), and a considerable fraction reaching much higher values. In particular, up to 20% of the forming EMRIs feature \(e_\mathrm{pl}>0.5\) for central MBH masses \(M_\bullet\) in the range \(10^5 M_\odot \leq M_\bullet \leq 10^6 M_\odot\), partially due to EMRIs forming at large semi-major axes and “cliffhanger EMRI”, usually neglected in literature. This highlights the importance of accounting for eccentricity in waveform modeling and detection strategies for future space-based gravitational wave observatories such as the upcoming Laser Interferometer Space Antenna (LISA). Furthermore, we find that the numerical fluxes in energy and angular momentum currently implemented in the FastEMRIWaveforms (FEW) package may not adequately sample the full parameter space relevant to low-mass MBHs (\(M_\bullet <10^6 M_\odot\)), potentially limiting its predictive power in that regime. Specifically, for \(M_\bullet =10^5 M_\odot\) we find that about 75% (50%) of EMRIs at 2 years (6 months) from plunge fall outside the currently available flux parameter space. Our findings motivate the development of extended flux grids and improved interpolation schemes to enable accurate modeling of EMRIs across a broader range of system parameters.
